天津某企业生产设备网络竞价会
阅读公告
实地看货
报名交保证金
出价竞拍
竞拍成功
线下提货
应委托方的要求,河北中废通拍卖有限公司定于2026年04月03日 09:00:00时在河北中废通拍卖有限公司的“聚拍网”在线竞价系统对备件一批(726项)物资进行公开竞价处置(不接受现场竞拍)。联系电话:13165588631
一、报名环节
2026年03月31日 09:00:00时起在标的物所在地进行为期不低于两天的预展。有意竞买者请缴纳报名费、竞买保证金并携带有效证件(报名公司由非法定代表人办理报名及参与竞拍任何程序的,应当出具加盖公司公章及法定代表人签字或签章的授权书)。办理竞买手续,银行转账以实际到账为准。竞买人及或付款人自愿同意:报名费一经缴纳,即获得本次竞价资格及聚拍网匹配的参拍身份,拍卖方已为此产生成本支出,且为防止恶意报名围拍、串拍,故其后无论报名人是否参与预展看货、出价等环节,均无权主张报名费的退还;如报名费是采取微信、支付宝等便捷方式支付的,付款人应在支付界面的备注栏中填写竞买人的名称,付款人的报名费支付即视为竞买人的报名费支付,否则,付款人、竞买人自行承担未备注竞买人名称的全部法律责任和后果。
二、预展看货
1、预展方式
竞买标的物预展同时采取网络直播看货和线下现场看货的方式进行,看货过程中,看货者就具体关注问题,可要求重点展示释明或在指定时间到现场看货,否则视同全部认可所展示货物。网络直播看货与线下现场看货出现不一致的情况时,以线下现场看货的情况为准。
若因疫情或者竞买标的特性等原因,仅采取网络直播看货的方式,则网络直播看货与线下现场看货具有同等法律效力。看货人网络直播看货完毕,即视为认可标的货物的现状,竞买完成后,不得再以标的瑕疵为由主张任何权利。
看货者应谨慎细致行使自身看货权利,中途离开过现场或直播间、放弃要求重点释明权利等情形,出现不利后果均自行承担。看货结束即视为看货人已成功完成了验货流程,看货人已对竞买标的物查验完毕,对竞买标的物的规格型号、质量、瑕疵、数量,以及与招商参考图片匹配度等全部信息无任何异议。
若仅采取线下现场看货的方式,应遵守《网络竞价规则》中现场看货的约定。
2、注意事项
竞买人在预展看货期间,应当着重向委托拍卖方看货讲解人员了解如下事宜:签订合同、预付货款的账号、流程等要求;成交后货物清运期限、方式、限制等具体要求;到达看货、拉货现场路况,拉货完毕是否需要清扫现场等全部细节。拍卖成交后不得再以不能在规定期限内或规定方式清运货物等任何理由拒签合同、拒付货款。
竞价成交后,买受人应按照要求与委托方签订买卖合同,因故未与委托方签订合同的,保证金不予返还。如竞买人或买受人违约,河北中废通拍卖有限公司扣除或应委托方的要求代扣买受人已缴纳的保证金作为违约金时,依据《中华人民共和国发票管理办法》《中华人民共和国发票管理办法实施细则》的规定,河北中废通拍卖有限公司收取的违约金由河北中废通拍卖有限公司负责开具票据,河北中废通拍卖有限公司代扣代付给委托方的违约金由委托方负责开具票据。
(竞买须知包括《重要通知》和《网络竞价规则》)
重要通知
一、竞买人缴纳竞买保证金人民币103500元(大写: 壹拾万零叁仟伍佰元整)后可参与本次竞买。
二、本次成交价为含税自提价(税率13%)。含发票,发票类型为:☐增值税普通发票;☑增值税专用发票。
三、买受人开始进场拉货后,于委托方规定的时间内或在买受人看货时自行与委托方确认的拉货期限内,通过双方约定的方式将标的物全部清运完毕。现场拉货过程中产生的所有费用均有买受人自行承担,委托方、河北中废通拍卖有限公司不提供车辆及人工辅助。标的物上附着的水泥或其他杂质,买受人在装车过磅前全部自行清理完毕,过磅时不予扣杂。标的物清运完毕后两日内,买受人负责自费将现场垃圾、拉货产生的垃圾全部清运完毕。
竞买人违反上述约定的,委托方、河北中废通拍卖有限公司有权扣除保证金,并追究违约责任。
四、报名参加竞买的资格条件: 企业资质
不允许关联企业或相关联人员同时报名参加竞标,一经查清按照违约处理。
五、佣金收取的条件及标准。在聚拍网竞价页面展示“买定成交”字样并生成成交通知书,视同“拍卖师落槌或者以其他公开表示买定的方式确认”,此时竞价拍卖成交,佣金数额确定后应当立即支付,支付标准如下:
1、按照比例计收佣金
竞价成交后,买受人履约完毕,本次成交价为含票自提价的,买受人应按照委托方向其开具发票的票面价税合计总金额 3 %的标准,向河北中废通拍卖有限公司支付服务佣金;本次成交价为不含票价(部分特殊物品不能开具发票)的,或者因故未能开具发票的,买受人应按照标的物实际成交金额为基数,依照前述比例的标准向河北中废通拍卖有限公司支付服务佣金。
2、按照单位数量计收佣金
竞价成交后,竞品数量固定不变的,买受人应按照竞价成交数量乘以人民币 元/单位(大写: )的标准,向河北中废通拍卖有限公司支付服务佣金;竞品成交数量发生变化的,买受人按照实际成交数量计算前述服务佣金。
3、按照批次计收佣金
竞价成交后,买受人应按照实际成交批次乘以人民币 元/批(大写: )的标准,向河北中废通拍卖有限公司支付服务佣金。
特殊约定:
1、 经河北中废通拍卖有限公司主持竞价成交后(特殊情形下采用最高价审批招标竞价模式中,经委托方核实确认成交后),买受人未按照《竞买公告》《竞买须知》“招商告知说明”等本次竞价要求,或者未按照其与委托方的约定履行相关义务的,买受人应按照标的物预处置数量等所对应佣金的收费标准,向河北中废通拍卖有限公司支付服务佣金。
2、 河北中废通拍卖有限公司通过函件催收服务佣金的,买受人自收到或者视为收到函件后3日内将服务佣金转入指定账户,逾期支付视为买受人借款,以未付服务佣金为基数,按照一年期LPR(贷款市场报价利率)的4倍计付利息;通过诉讼方式主张服务佣金的,自法院受案日开始,以服务佣金为基数,按照一年期LPR(贷款市场报价利率)的4倍计付利息,且由此产生的包含但不限于诉讼费、保全费、鉴定费、差旅费、律师费等一切为主张权利所产生的费用,均由买受人承担。
六、严禁以任何手段谋取非法利益。在拉货过程中,严禁在计量器具上安装控制元件、遥控计量器具,严禁以其他一切手段窃取委托方的财产。一经发现,河北中废通拍卖有限公司或委托方有权将买受人所缴纳的保证金、预付款予以扣除,并可在弥补损失完毕的基础上,要求其承担不低于五万元的违约赔偿责任。
委托方和河北中废通拍卖有限公司还将依法追究窃取方的行政责任、民事责任或刑事责任。
七、买定成交(中标)后,买受人应于 三日 前,自行向委托方索要收款账号,并将标的物预处置货款转入该指定账号中,同时签订《废旧物资销售合同》。
八、委托方和河北中废通拍卖有限公司不对标的物做任何担保、保证、承诺,具体处置物资以委托方的实际指定为准,按委托方的要求进行处置、清理、运输。
九、本次竞价是最高价审批。
十、其他特殊事项
十一、最高价审批是指“在某些特殊行业、特殊物品的竞价过程中,在确定最高出价后,需要委托方进行申报获批后,方可确定成交。”在此过程中有可能出现审批不通过或审批时间较长等情况。一般情况下,最高出价确定后10个工作日内出具最高价的审批结果,出具审批结果后10个工作日内签署《废旧物资销售合同》。因委托方的原因超过上述期限的,最高出价者有权书面选择放弃出价或继续等待。
最终审批通过,最高出价者选择继续等待,若出现标的物价格下跌的,最高出价者自愿承担继续等待期间的损失。若最终审批未通过,最高出价者不得向委托方、河北中废通拍卖有限公司主张任何权利。
竞买成交后,买受人凭河北中废通拍卖有限公司出具的《中标通知书》于委托方规定期限内将标的物预估货款缴纳至委托方指定账户,与委托方签订《废旧物资销售合同》, 并根据委托方要求拉货。
网 络 竞 价 规 则
一、为规范网络竞价行为,根据有关法律、法规特制定本《网络竞价规则》。达到保留价且最高出价者,为最终竞买成功者,需作为买受人遵守《竞买公告》《竞买须知》及相关附件内容,承担本次竞买所约定的全部义务。
二、参与网络竞价的竞买人须是具有完全民事权利能力和民事行为能力的自然人、法人或其他组织,并具备操作计算机的能力。委托方和河北中废通拍卖有限公司声明不提供统一的竞价场所和竞价工具。
三、参加竞买人员凭有效证照办理竞买手续、缴纳竞买保证金,取得竞买资格。没有竞买资格参与竞买者报价无效。
四、竞买人不得恶意出价,或串通操纵竞价。违反者将被取消竞买资格,扣除保证金并追究全部法律责任。为防止竞买人恶意出价后,以操作不慎等由头随意弃标,故意扰乱竞价进程,竞买人参与竞买须承诺:
如作为最后竞买人,报价超过首次报价或前一名竞买人报价10倍以上且高于保留价的,除自愿接受该报价成交外,竞买人同意由河北中废通拍卖有限公司或委托人全额扣除竞买人的保证金,并赔偿竞买人不能按照成交价签约,给本次竞价及重新组织竞价造成的损失。
五、按照有关规定及“依物品现状进行竞价”的国际惯例,委托方和河北中废通拍卖有限公司已在竞价开始前对竞价标的物进行了预展,并声明不承担瑕疵担保责任。
在预展期间内,竞买人应仔细阅读《竞买须知》并通过网络直播或去现场认真查看了解竞价标的物。
竞买人未进行预展看货,视为竞买人对自身权利的放弃,竞买人自愿承担全部法律后果。
在预展期结束后,竞买人一旦参加竞买报价,无论是否竞买成功,均视为竞买人接受竞买标的物现状,对竞买标的物的规格型号、质量、瑕疵、数量等全部信息无任何异议。
六、聚拍网网络竞价系统作为本场网络竞价活动指定的网络竞价平台,凡注册成功,申请参拍,并通过委托方和河北中废通拍卖有限公司的 资格审核,获得河北中废通拍卖有限公司所分配的竞买账号和密码且被激活的竞买人,均可登录聚拍网竞价大厅参与本场网络竞价活动。一台计算机终端设备只能登录一个竞买账号,河北中废通拍卖有限公司所分配的竞买账号仅在本场竞价会上能有效使用。申请人可在缴纳竞买保证金后登陆系统,如可正常登陆,即已通过审核。
冒充他人注册或以他人的信息注册的,一经查实即取消其竞买资格,并将被依法追究全部法律责任。
七、河北中废通拍卖有限公司为方便竞买人参加网络竞价活动,在网上发布与标的物相关的图片及其资料仅供参考。竞买人不应仅依赖图片对标的物的状况做出判断,竞买人进入本次网络竞价页面,即表明已完全了解标的物之一切现状,同意遵守本《竞买须知》的规定和业务程序,并愿承担一切法律责任。
竞价标的物系二手、废旧物资现状拍卖,委托方和河北中废通拍卖有限公司不对标的物真伪、品质、规格等内容做任何保证,不承担网络竞价标的物的任何瑕疵担保责任。未查验标的物状况便参加竞买,视为竞买者对自身权利的放弃,竞买者承诺自愿承担放弃自身权利的全部法律后果。
八、最高出价经聚拍网展示确认成交后,买受人自愿接受并确认签署网络竞价《成交确认书》及《竞买笔录》(文书范本详见附件),该两份文书将根据实时竞价流程及最终结果自动生成并电子签名,买受人对此不持任何异议。特殊标的未启用电子签名的,则《成交通知书》具备与《成交确认书》相同法律效力。
竞买成交后,买受人凭河北中废通拍卖有限公司出具的《成交通知书》于委托方规定期限内将标的物预处置货款缴纳至委托方指定账户,与委托方签订《废旧物资销售合同》, 并根据委托方要求拉货。
九、在确定成交(中标)后,竞买人自愿同意其已交纳的竞买保证金自动转换成其向物资处置委托方签订及履行合同的保证金,如其不能正常履约,则无权主张保证金的返还。
未成交的竞买人交付的竞买保证金,自买受人成交之日(不含成交当日)起五个工作日内退还(不计利息),如竞买保证金退还需要支付手续费应由竞买人自行承担。
十、委托人及河北中废通拍卖有限公司有权对标的物的有关情况(包括但不限于起拍价、保留价、竞价阶梯、竞价时间、标的竞价的顺序、有关图像、文字资料等)在标的物未开始竞价之前进行修改和解释,竞买人应当予以充分理解并在竞价标的竞价过程中注意。买受人在成交后不得以竞价标的物的有关情况在竞价前改变为理由反悔,一经成交确认,委托人、河北中废通拍卖有限公司不因此承担任何责任。
十一、竞价程序因委托方撤回委托、不可抗力等意外,或由于软硬件技术故障等其他原因造成网络竞价程序暂停或终止的,委托人、河北中废通拍卖有限公司不承担违约责任。前述暂停事由消除后,所有参加的竞买人可在之前的出价基础上继续竞价,最终买定成交后,买受人须遵照本规则约定,履行相关义务并承担相应责任。
十二、本场网络竞价活动特别约定事项
1、如竞买成功,买受人所缴纳的保证金,在买受人按要求拉运完标的物后,持委托方出具的相关证明文件办理退还手续。
2、标的成交后,买受人与委托方协商办理成交标的物移交等一切事宜。标的物一经成交确认,所发生的丢失、损毁、事故、拉货过程可能产生的纠纷等责任均由买受人承担。
3、标的物成交后,买受人应于委托方规定期限将标的物货款缴纳至委托方指定账户,并到现场交割拉货。
买受人悔标或在规定时间内不签收相关文书、不签订合同、不足额交清货款、延期或拒绝拉货、在河北中废通拍卖有限公司指定期限内不签署《弃标承诺书》、不及时足额交清佣金,均视为买受人构成根本违约,自动放弃标的物,自愿解除与委托方之间的废旧物资销售或处置合同,并认可委托方、河北中废通拍卖有限公司有权重新组织竞价,委托方、河北中废通拍卖有限公司有权扣除买受人支付的全部保证金,并就买受人的全部违约行为,主张损害赔偿责任。
委托方、河北中废通拍卖有限公司重新组织竞价,第一次违约的原买受人不允许参与后续的竞买。竞价标的再行竞价的,原买受人应当支付第一次竞价中本人应当支付的佣金。再行竞价的价款低于原竞买价款的,原买受人应当补足差额。
经两次通知买受人拒不履行相关义务的,委托方或其授权方有权解除合同并扣除保证金,并另行委托重新竞价。保证金不足以弥补损失的,可另行主张损害赔偿。
4、确定成交(中标)后,买受人应当自行清运成交标的物,因提货所产生的全部费用均由买受人自行承担。委托方不负责成交标的物的修整、切割、装车、运输。
5、在现场装车过程中,一经发现买受人(包括但不限于买受人员工、买受人临时雇佣人员、与买受人有利害关系的单位及或个人等)有偷盗等违法犯罪行为,买受人将承担一切法律责任。委托方、河北中废通拍卖有限公司将扣除该买受人的竞买保证金及预缴货款,并将该买受人列入失信黑名单,禁止该买受人参与聚拍网的所有竞价。
6、竞买人一旦参加竞投,即表示接受标的物之一切现状和本须知之全部条款,并对自己的竞投行为负法律责任,不得在成交后以不了解为理由反悔。一经成交确认,委托人、河北中废通拍卖有限公司不因标的的瑕疵或可能存在的瑕疵承担任何责任。
7、标的物网络竞价以实物现状为准。成交一经确认,所发生的与成交标的物有关的全部费用与责任均由买受人承担,委托人、河北中废通拍卖有限公司不承担任何费用及责任。
8、买受人持通知书和委托方财务部门开具的货款到账凭证,根据委托人的安排提货。
9、买受人装运成交标的物时,须听从委托方有关负责人员的指挥。未经委托人允许,禁止装运本次竞价成功标的物以外的委托人物资。拉货期间,买受人应及时拉运。不能以成交标的价格下跌或其他理由拒绝拉货,否则视为违约。
10、标的成交后,因买受人违约,委托人与其暂停合作期限内,河北中废通拍卖有限公司将不接受该买受人的任何竞价申请。
11、竞买人在报名参加竞买时预留电话的人为其参加竞买的代理人,代理人所实施的一切行为和所签署的一切文件,竞买人均予以承认,并承担由此产生的一切法律责任。代理人就委托事项无权自行转委托他人。如确需转委托的,竞买人应出具签名盖章的书面文件。
十三、凡购买委托方各类废旧物资的买受人(包括但不限于买受人员工、买受人临时雇佣人员、与买受人有利害关系的单位及或个人等),应遵守国家法律及委托方的各项管理制度,如为了谋取非法利益采取在计量器具上安装控制元件、遥控计量器具、秘密窃取等一切不正当手段窃取委托方物资的,委托方对采购单位做如下处理:
(1)终止现执行的合同并终身取消后期合作;
(2)依法追回被窃取的物资或按被窃取物资的原值进行索赔,扣除该公司保证金及货款并要承担赔偿责任;
(3)对性质特别恶劣的,数额巨大,将依法对买受人追究其法律责任。
十四、河北中废通拍卖有限公司坚决反对任何形式的商业贿赂行为。如果您有任何商业贿赂的线索,希望您通过如下途径向河北中废通拍卖有限公司进行举报。河北中废通拍卖有限公司承诺将对举报人信息采取绝对安全的保密措施。
举报邮箱:tousu@jupai.net
举报电话:13165588691
十五、网上竞买风险声明
1、因注册信息不准确、资料提供不完善、竞买保证金缴纳不及时,造成申请人用户名不能被审核通过,从而不能登录竞价大厅,河北中废通拍卖有限公司不承担任何责任。
2、竞买人的竞买账号和密码一经转交给竞买人后,因泄露、丢失、遗忘登录密码而产生的一切后果,河北中废通拍卖有限公司不承担任何责任。
3、由于互联网可能出现不稳定情况,不排除网络竞价发生故障(包括但不限于网络故障、电路故障、系统故障等)以及被网络恶意攻击,或因竞买人自身终端设备和网络异常等原因导致无法正常竞价的,河北中废通拍卖有限公司不承担任何责任。
4、对于因不可抗力或本系统程序不能控制的因素导致服务中断、报价中断或其他缺陷,河北中废通拍卖有限公司不承担任何责任。
5、凡是与本次竞买有关的任何争议、纠纷,各方应首先通过友好协商解决。如果不愿协商或经协商后仍不能解决时,任何一方均应向本次竞买的组织者河北中废通拍卖有限公司住所地即石家庄市长安区人民法院提起民事诉讼。
十六、竞买人及或买受人同意在与河北中废通拍卖有限公司、委托方的合作中出现任何违反《竞买公告》《竞买须知》及拍卖方、委托方补充告知的包括但不限于时间节点、佣金比例、其他须遵守的事宜等行为,河北中废通拍卖有限公司或委托方均有权将该竞买人及或买受人所缴纳保证金扣除(不论该条款或者告知事项是否单独约定了保证金扣除事宜),并列入聚拍网的失信黑名单,同时禁止该竞买人及或买受人参与聚拍网的所有竞价。
十七、其他特别约定事宜
1、委托方、河北中废通拍卖有限公司主张自身合法权利、追究买受人违约责任所产生的包含但不限于诉讼费、保全费、鉴定费、差旅费、律师费等全部费用,均由买受人承担。竞买人、买受人工商注册地址视为商业文书及司法文书送达地址,地址变更的应当及时提供加盖公章新地址,否则以原地址为准。授权委托书留有地址的,以该地址为准。
2、鉴于,本次物资处置中委托方、拍卖方需要付出巨大人力、物力;处置进程对委托方影响巨大,买受人违约行为所导致的延误,将造成委托方的巨大损失。故竞买人参与本次竞买,须接受并认可本次保证金的数额,及本次竞价过程中因违反《竞买公告》《竞买须知》所承担的全部保证金扣除及违约责任的承担等全部事宜,承诺放弃违约责任过高等抗辩条款,并对此不持任何异议。
3、竞价过程及成交后,如发生不可抗力,委托方、河北中废通拍卖有限公司和买受人三方不承担违约责任,受不可抗力影响的一方,应在不可抗力发生后的三日内通知其他方,并在不可抗力发生后十五日内用特快专递邮寄相关的主管部门签发的证明文件,以便协商解决,其他各方审查、确认。
4、凡参加本次竞价的竞买人皆视为理解本规则告知的所有内容,同意接受本规则约束,同意按本规则解决可能存在的争议,接受规则对法律、法规、部门规章、行业惯例等非效力性禁止条款的变通。
5、本次竞价所称“竞买须知及相关事宜”包括但不限于聚拍网《竞买公告》《竞买须知》(包含《重要通知》《网络竞价规则》)及本次交易过程工作人员所额外发送或告知的文件及相关履约事项。“竞买须知及相关事宜”构成对买受人与委托方所签订废旧物资处置或买卖合同的补充,对买受人具有同样约束力。但两者不一致的,以合同为准。
十八、撮合成交是指因最高出价未达到委托方的保留价等相关情形而导致竞价未成交,经河北中废通拍卖有限公司撮合出价人与委托方达成买卖合意的成交方式。
撮合成交与竞拍成交具备相同法律效力;委托人同意放弃保留价后,买受人或买受人的委托人,以其出价接受成交的意思表示,做出即生效。买受人收到《中标通知书》之后,即应严格按照要求及时履行签订处置合同、交纳预付货款等相关义务,无故违背“竞买须知及相关事宜”要求变更或拒绝履行相关义务的,需承担保证金扣除、赔偿损失等责任。
买受人承诺认可撮合成交具备与拍卖成交相同的法律效力,撮合成交后须严格遵守并执行“竞买须知及相关事宜”,撮合成交买受人违反前述要求的,自愿承担相应的违约责任。前述“竞买须知及相关事宜”存在具体履行时间要求的,根据收到撮合《中标通知书》时间做相应的顺延。
本次竞价对委托方其他关联项目影响重大,出现延误将产生难以弥补的损失,故对本次竞价进程要求极为严苛,且约定违约责任亦相对较重,望不能遵守相关规则及约定者谨慎参与,一旦参与需在此不可撤销地确认:上述内容已认真阅读、充分理解,系自身真实的意思表示,规则不属于格式条款,不存在重大误解、显失公平、被胁迫、被欺诈等情形,各方均对上述条款给与了详细说明,承诺完全遵守,对签名、盖章的真实性、合法性、关联性承担全部责任。

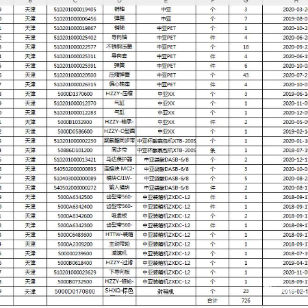
暂无,一切以实际看物资为准!
登录后查看出价信息
登录查看|
出价状态 |
编号 | 价格 |
出价时间 |
|---|---|---|---|
| 领先 | 15026 | ¥325,000 | 2020-08-18 19:22:21 |
| 出局 | 15023 | ¥323,500 | 2020-08-18 19:21:15 |
| 出局 | 15020 | ¥320,000 | 2020-08-18 19:21:10 |
| 出局 | 15022 | ¥319,100 | 2020-08-18 19:20:05 |
| 出局 | 15087 | ¥318,000 | 2020-08-18 19:19:11 |
| 出局 | 15112 | ¥317,800 | 2020-08-18 19:19:05 |